STAT/MATH 394B
3.2.4 
3.2.5 f(x) = (d/dx)F(x) = 9x2-8x, 0 <=x < 1;
0 otherwise
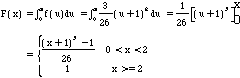
3.2.10
Note that the book answer had a typo in it.
3.3.5 (a) P(X=3) =9/14
(b) P(X<=2.7614)=P(X<=2)=1-P(X=3)=5/14 (from (a))
(c) P(X=2.7614)=0; not a possible value for X
(d) P(X<=2)=5/14 from (b)
(e)P(X<2)=P(X=1)=1/14
3.3.6 X ~ Bin(3,1/6) so P(X=k) =
.
or P(X=0)=(5/6)3=125/216; P(X=1)=3(1/6)(5/6)2=75/216;
P(X=2)=3(1/6)2(5/6)=15/216; P(X=3)=(1/6)3=1/216
3.3.11 (a)
(b)